Selasa, 19 Mei 2020

Contoh Soal (F+G)(X)

Contoh Soal (F+G)(X). Ok kali ini kita akan membahas mengenai rangkuman materi dan contoh soal fungsi dan komposisi untuk kamu kelas 10 sma. Pada kesempatan kali ini kita akan menyampaikan kumpulan contoh soal tentang materi fungsi komposisi.

Intip Solusi Super Menyelesaikan Soal Fungsi Komposisi Buat Kelas 10 Quipper Line Today
Intip Solusi Super Menyelesaikan Soal Fungsi Komposisi Buat Kelas 10 Quipper Line Today from obs.line-scdn.net
Kelas 7 kelas 8 kelas 9 kesebangunan lurus pecahan pembahasan perbandingan persamaan sd sd pecahan segiempat segitiga sma smp soal splsv un. Pada kesempatan kali ini kita akan menyampaikan kumpulan contoh soal tentang materi fungsi komposisi. Soal pemungutan pph pasal 22 penjualan pulsa, ini kata djp.

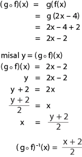
Contoh soal lain tentang fungsi komposisi.

Desain penampang komposit penuh terhadap m (+). Berikut ini adalah 40 contoh soal pppk kemampuan manajerial beserta kunci jawaban. Ok kali ini kita akan membahas mengenai rangkuman materi dan contoh soal fungsi dan komposisi untuk kamu kelas 10 sma. Akan dibahas juga mulai dari pengertian fungsi koposisi beserta rumus dan contoh soal.

Tidak ada komentar:

Posting Komentar

Iklan Atas Artikel

Iklan Tengah Artikel 1

Iklan Tengah Artikel 2

Iklan Bawah Artikel