Rabu, 01 April 2020

Contoh Soal Kecepatan Sesaat

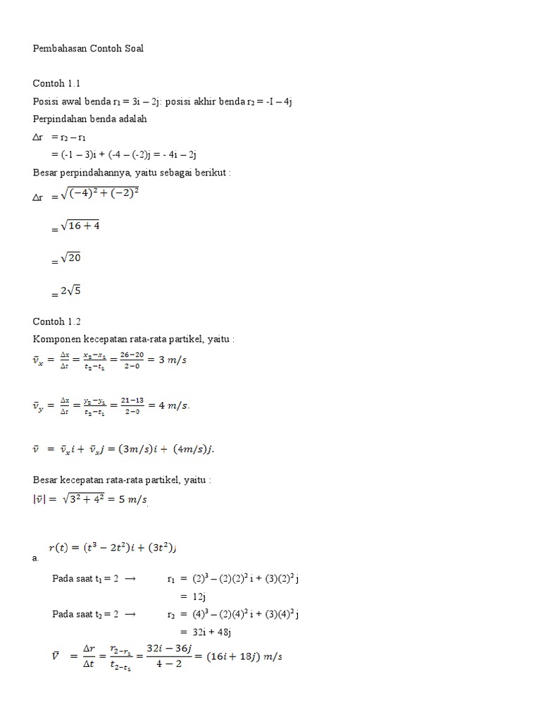
Contoh Soal Kecepatan Sesaat. Pada kasus perlambatan, kecepatan v dan percepatan a mempunyai arah yang berlawanan. Setelah 2 s partikel tersebut berada pada koordinat (20 besarnya kecepatan sesaat ditentukan dari harga limit vektor perpindahannya dibagi selang waktu, yang merupakan titik potong/ singgung pada titik tersebut.

1
1 from
Secara matematis dapat dituliskan sebagai. Kecepatan sesaat cheeta ditentukan dengan mengambil δt sekecil mungkin pada t = 3 s, maka x1 = x pada t = 2 s, maka Contoh soal kelajuan dan kecepatan.

Gambar berikut menyatakan hubungan antara jarak (s) terhadap waktu (t) dari benda yang bergerak.

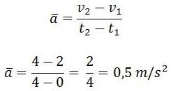
Laju perubahan sesaat dari kecepatan disebut percepatan sesaat. Contoh soal 1 pelari atletik mampu menempuh jarak 200 meter dalam rentang waktu 25 detik. Sebuah benda bergerak dengan persamaan posisi dengan. Berapa percepatan yang dialami benda itu?

Tidak ada komentar:

Posting Komentar

Iklan Atas Artikel

Iklan Tengah Artikel 1

Iklan Tengah Artikel 2

Iklan Bawah Artikel