Jumat, 03 April 2020

Contoh Soal Integral Tentu Akar

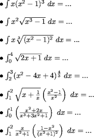
Contoh Soal Integral Tentu Akar. Kumpulan contoh soal dari berbagai mata pelajaran dari berbagai jenjang sekolah. Integral tak tentu yang seperti sebelumnya dijelaskan adalah merupakan sebuah invers atau kebalikan dari turunan.

Contoh Soal Integral Tentu
Contoh Soal Integral Tentu from i0.wp.com
Integral tentu akan menghasilkan nilai tertentu yang bergantung pada batasnya. Jawabannya xls contoh soal fungsi invers akar contoh soal fungsi invers dan pembahasannya contoh soal fungsi linear kelas 10 contoh soal gelombang mekanik fisika kelas 11 contoh soal gladi bersih bahasa. Bilangan jika diubah menjadi bentuk akar adalah.

Tahap pertama yang perlu kita lakukan adalah melakukan integral fungsi 3x2 + 5x + 2 menjadi seperti di bawah ini.

Fungsi ini belum memiliki nilai pasti (berupa variabel) sehingga cara pengintegralan yang menghasilkan fungsi tak tentu ini. Yang dinamakan dengan integral tak tentu yaitu integral yang tidak mempunyai antara batas atas dan bawah. Home » » contoh soal dan pembahasan tentang bentuk akar. Blog sederhana untuk belajar matematika online, referensi untuk ujian nasional dan uas.

Tidak ada komentar:

Posting Komentar

Iklan Atas Artikel

Iklan Tengah Artikel 1

Iklan Tengah Artikel 2

Iklan Bawah Artikel