Rabu, 01 April 2020

Contoh Soal Kecepatan Relatif

Contoh Soal Kecepatan Relatif. Seorang pengamat di stasiun ruang angkasa mengamati adanya dua pesawat antariksa a dan b yang datang menuju stasiun tersebut dari arah yang berlawanan dengan laju va = vb = 3/4 c (c adalah cepat. Saat motor a berjalan dengan kecepatan sekitar 60 km/jam dan dibelakngnya motor b sekitar 1,4 km.

Kecepatan Relatif Percepatan Relatif ǀ Pengertian Contoh Persamaan Transformasi Galileo Aisyah Nestria
Kecepatan Relatif Percepatan Relatif ǀ Pengertian Contoh Persamaan Transformasi Galileo Aisyah Nestria from 1.bp.blogspot.com
Tips dan trik solusi super dalam penyelesaian soal kinematika vektor. Contoh soal menentukan komponen kecepatan awal gerak parabola. Pada kesempatan kali ini kita akan membahas mengenai sesuatu yang relatif terhadap keadaan.

Setelah mobil melaju 10 sekon, kecepatan mobil tersebut bertambah menjadi 4 m/s.

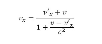
Frekuensi relatif muncul angka = banyak angka yang muncul banyak percobaan. Banyak orang yang takut ketika menghadapi pisikotes dikarenakan memang tes ini merupakan tes yang cukup sulit bagi sebagian. Sebuah batang homogan memiliki 3 kg dan panjangnya9 m diputar salah satu ujungnya. V = kecepatan pengamat bergerak relatif terhadap pengamat yang diam.

Tidak ada komentar:

Posting Komentar

Iklan Atas Artikel

Iklan Tengah Artikel 1

Iklan Tengah Artikel 2

Iklan Bawah Artikel