Jumat, 21 Agustus 2020

5 Contoh Soal Permutasi Dan Kombinasi

5 Contoh Soal Permutasi Dan Kombinasi. Masalah tersebut merupakan masalah permutasi 2 objek dari 6 objek sehingga ada: Teknik penggunaan permutasi dan kombinasi tentunya memiliki tujuan yang berbeda.

Permutasi Dan Kombinasi Matematika Kelas Xii Youtube
Permutasi Dan Kombinasi Matematika Kelas Xii Youtube from i.ytimg.com
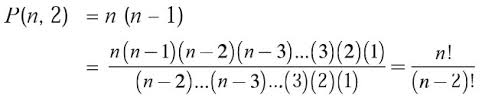
Contoh soal permutasi dan kombinasi saat akan menjamu bayern munchen di allianz arena, antonio conte (pelatih juventus) punya 20 pemain yang akan dipilih 11 diantaranya untuk jadi starter. Berapa banyak cara mengurutkan nama 25 orang mahasiswa ? Permutasi dapat diartikan sebagai aturan pencacahan/penyusunan dengan memperhatikan urutan contoh soal permutasi.

Perusahaan pengalengan sedang membutuhkan 4 karyawan baru untuk mengisi posisi berbeda yang kosong.

Kami juga telah menyiapkan kuis berupa latihan soal dengan. {1,2,3} adalah sama dengan {2,3,1} dan {3,1,2}. Untuk menyelesaikan soal permutasi terdapat 4 metode yaitu: Pada permutasi, anda telah dapat memilih 3 orang dari 5 orang untuk menjadi ketua, sekretaris, dan bendahara.

Tidak ada komentar:

Posting Komentar

Iklan Atas Artikel

Iklan Tengah Artikel 1

Iklan Tengah Artikel 2

Iklan Bawah Artikel