Jumat, 29 Januari 2021

Contoh Soal Tentang Bunga Majemuk

Contoh Soal Tentang Bunga Majemuk. Contoh soal bunga tunggal jawabannya penulis cilik. Bunga majemuk merupakan bunga yang menjadi pokok dari suatu simpanan.

Bunga Majemuk Dalam Keuangan Compound Interest Soal Jawaban
Bunga Majemuk Dalam Keuangan Compound Interest Soal Jawaban from www.pinterpandai.com
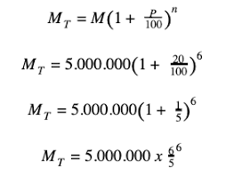
Diketahui modal pinjaman rp1.000.000 dengan bunga sebesar per bulan, maka setelah 5 bulan modalnya adalah …. Contoh soal agus menabung sebesar 1.000.000 rupiah di bank dengan sistem bunga majemuk dan suku bunga 5% per tahun. Pengertian, rumus, contoh soal dan pembahasannya.

21 contoh soal pada tanggal 1 januari 2009, sebidang tanah ditawarkan pada harga rp secara tunai atau dengan membayar rp hari ini ditambah rp satu tahun lagi dan rp dua.

Pada artikel kali ini kita akan mempelajari secara lebih lanjut mengenai bunga majemuk, mulai dari pengertian, rumus dan juga contoh soalnya agar kamu lebih. Pengertian bunga tunggal dan bunga majemuk. Bunga majemuk juga bisa dikatakan bunga yang berbunga. Contoh soal bunga tunggal contoh soal 1 setelah 9 bulan uang tabungan susi di koperasi berjumlah rp 3.815.000.

Tidak ada komentar:

Posting Komentar

Iklan Atas Artikel

Iklan Tengah Artikel 1

Iklan Tengah Artikel 2

Iklan Bawah Artikel