Selasa, 22 September 2020

Contoh Soal G Bundaran F

Contoh Soal G Bundaran F. Soal fungsi komposisi f o g o h from i.ytimg.com October 11, 2020september 23, 2020 by kevin.

Intip Solusi Super Menyelesaikan Soal Fungsi Komposisi Buat Kelas 10
Intip Solusi Super Menyelesaikan Soal Fungsi Komposisi Buat Kelas 10 from i0.wp.com
Matematika 3 fungsi khusus ppt download from slideplayer.info. Contoh soal fungsi komposisi jawaban dan pembahasannya kelas 10. Akan dibahas juga mulai dari pengertian fungsi koposisi beserta rumus dan contoh soal beserta jawabannya.

Simak di sini untuk latihan pelajaran sma kelas 10 kurikulum 2013 revisi dan cara mengerjakannya.

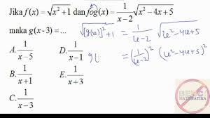
Fungsi invers atau yang juga dikenal sebagai fungsi kebalikan adalah sebuah fungsi yang berkebalikan dari fungsi asalnya. Grafik fungsi y = tan x, untuk 0 ≤ x ≤ 2π. Operasi fungsi komposisi tersebut biasa dilambangkan dengan o kemudian dapat dibaca komposisi ataupun bundaran. Soal ini merupakan komposisi tiga fungsi yaitu :


Tidak ada komentar:

Posting Komentar

Iklan Atas Artikel

Iklan Tengah Artikel 1

Iklan Tengah Artikel 2

Iklan Bawah Artikel