1 response to materi trigonometri kelas 11 sma unknown april 26 2019 at 222 am. Untuk membantu para siswa sma dalam menghadapi pelaksanaan pat pada posting kali ini admin bagikan latihan soal pat matematika peminatan sma kelas 11 xi kurikulum 2013.
Contoh Soal Bab Trigonometri Dan Pembahasannya
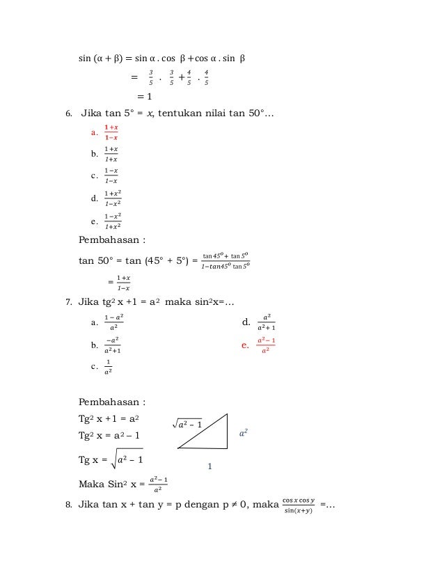
Sebelumnya kita sudah pernah membahas materi tentang trigonometri jumlah dan selisih dua sudut.

Contoh soal trigonometri kelas 11 peminatan. Guru sd smp sma contoh soal matematika peminatan kelas 11 bab trigonometri. Dalam merancang kerangka sebuah jembatan perhitungan yang dilakukan tidaklah mudah. Contoh soal dan pembahasan trigonometri lengkap kelas 11 di kesempatan kali ini kita akan memberikan contoh soal dan pembahasan trigonometri kelas 11.
Beban tegangan serta gaya yang bekerja pada jembatan menjadi pertimbangan utama para perancang untuk mengonstruksikan model rancangannya. Matematika peminatan sma kelas 11 kurikulum 2013 revisi. Jika anda termasuk salah satu calon dari 10 orang.
1 dengan menggunakan rumus penjumlahan dua sudut tentukan nilai dari. Contoh soal materi trigonometri kelas 11 contoh soal trigonometri kelas 11 smk. Pada kesempatan ini m4th lab akan membahas materi limit fungsi trigonometri meliputi konsep contoh soal dan pembahasan.
Contoh file soal uts lengkap kelas 1 6 sdmi semua mata pelajaran 20162017 berikut ini adalah kumpulan dari berbagi sumber tentang contoh soal matematika peminatan kelas 11 bab trigonometri yang bisa gunakan untuk bank soaldownloadsd dan diunduh secara gratis dengan menekan tombol download biru dibawah ini. Berapakah peluang anda terpilih. Cara cepat dan mudah membuktikan identitas trigonometri.
Topik yang dibahas penggunaan rumus jumlah dan selisih sudut. Contoh soal mid semester 1 kelas 11 matematika peminatan trigonometri rumus tan. Guru sd smp sma contoh soal matematika peminatan kelas 11 trigonometri.
Materi lengkap trigonometri dengan fungsi rumus dan pembahasan contoh soal. Soal ini hanya contoh yang diambil dari pelaksanaan pat tahun sebelumnya. Pada kurikulum 2013 revisi 2016 materi ini dipelajari di kelas xii matematika peminatan semester ganjil.
Cara mudah mengerjakan kpk fpb dan. Untuk lebih memahaminya lagi mari kita mulai berlatih dengan soal soal yang sudah disediakan di buku matematika kalian masing masing. Oleh karena itu soal ini belum tentu sama dengan soal tahun sekarang.
Contoh file soal uts lengkap kelas 1 6 sdmi semua mata pelajaran 20162017 berikut ini adalah kumpulan dari berbagi sumber tentang contoh soal matematika peminatan kelas 11 trigonometri yang bisa gunakan untuk bank soaldownloadsd dan diunduh secara gratis dengan menekan tombol download biru dibawah ini. Materi trigonometri kelas 11 materi. Matematika peminatan sma kelas 11 kurikulum 2013 revisi.
A sin 750 b cos 750 c tan 1050 pembahasan a rumus jumlah dua sudut untuk sinus. Untuk menghadiri suatu konferensi dipilih 3orang dari 10.
Contoh Soal Bab Trigonometri Dan Pembahasannya
Contoh Soal Bab Trigonometri Dan Pembahasannya
3 Pembahasan Soal Persamaan Trigonometri Kelas 11
Contoh Soal Bab Trigonometri Dan Pembahasannya
Contoh Soal Bab Trigonometri Dan Pembahasannya
Rumus Persamaan Trigonometri Dan Contoh Soal Belajar
Contoh Soal Bab Trigonometri Dan Pembahasannya
Soal Dan Pembahasan Persamaan Trigonometri Matematika
Contoh Soal Bab Trigonometri Dan Pembahasannya
Contoh Soal Trigonometri Kelas Xi Ahmadthohir1089
Contoh Soal Bab Trigonometri Dan Pembahasannya
Contoh Soal Bab Trigonometri Dan Pembahasannya
Rumus Persamaan Trigonometri Dan Contoh Soal Belajar
Rumus Persamaan Trigonometri Dan Contoh Soal Belajar
Rumus Persamaan Trigonometri Dan Contoh Soal Belajar
Contoh Soal Bab Trigonometri Dan Pembahasannya
Contoh Soal Dan Pembahasan Trigonometri Lengkap Kelas 11
Contoh Soal Dan Penyelesaian Persamaan Cosinus 1
Kerjakan Latihan Contoh Soal Uts Trigonometri Agar Nilai
Kerjakan Latihan Contoh Soal Uts Trigonometri Agar Nilai
Soal Dan Pembahasan Trigonometri Jumlah Dan Selisih Dua
Soal Trigonometri Kelas Xi Ipa 1 Soal Trigonometri Kelas
Bentuk Persamaan Trigonometri Dan Cara Menyelesaikannya
Pembahasan Soal Persamaan Trigonometri 5 Bentuk Kuadrat
Contoh Contoh Soal Dan Pembahasan Trigonometri Untuk Sma
Soal Dan Pembahasan Persamaan Trigonometri Bentuk A Sin X
Soal Persamaan Trigonometri Kelas Xi Ipa
Rumus Contoh Soal Identitas Trigonomentri Pembahasan
Contoh Soal Dan Pembahasan Identitas Trigonometri Uji
Rumus Contoh Soal Identitas Trigonomentri Pembahasan
Contoh Soal Limit Trigonometri Terbaru Kelas 11 12
Materi Matematika Kelas Xi Ipa Rumus Trigonometri Untuk
Sma Negeri 15 Tangerang Trigonometri Matematika Sma Ppt
Contoh Soal Identitas Trigonometri Kumpulan Soal Pelajaran 9
Contoh Soal Bab Trigonometri Dan Pembahasannya
Contoh Soal Limit Trigonometri Terbaru Kelas 11 12
Kumpulan Soal Pembuktian Identitas Trigonometri
Aplikasi Persamaan Trigonometri 1
Rangkuman Contoh Soal Pembahasan Trigonometri
Persamaan Trigonometri Rumus Dan Contoh Soal
Kumpulan Soal Pembuktian Identitas Trigonometri
209552997 Soal Dan Pembahasan Trigonometri Kelas Xi Ipa Docx
Limit Fungsi Trigonometri Matematika Peminatan Kelas Xii
Materi Trigonometri Kelas 11 Sma Matematrick
Kumpulan Soal Limit Fungsi Trigonometri
Aplikasi Persamaan Trigonometri 2
Kumpulan Soal Limit Fungsi Trigonometri
Contoh Soal Bab Trigonometri Dan Pembahasannya
Turunan Fungsi Trigonometri M4th Lab
Kumpulan Soal Limit Fungsi Trigonometri
Kumpulan Soal Pembuktian Identitas Trigonometri
Identitas Trigonometri Lengkap Pengertian Rumus Contoh Soal
Contoh Soal Trigonometri Kelas Xi Ahmadthohir1089
Kisi Kisi Soal Us Mtk Peminatan 2016 2017 Rev 3
Contoh Contoh Soal Dan Pembahasan Tri Untuk Sma
Kumpulan Materi Dan Soal Matematika X Xi Xii Ipa Kurikulum
Contoh Soal Dan Pembahasan Trigonometri Lengkap Kelas 11
Contoh Soal Cerita Trigonometri Brainly Co Id
Kerjakan Latihan Contoh Soal Uts Trigonometri Agar Nilai
Trigonometri Lanjut Inspirasi Tak Terbatas
Menu Kelas Xi Trigonometri Kelompok 3 Ppt Download
Contoh Soal Identitas Trigonometri Kumpulan Soal Pelajaran 9
Persamaan Trigonometri Matematika Peminatan Kelas 11
Rangkuman Contoh Soal Pembahasan Trigonometri
Rpp Fungsi Dan Persamaan Trigonometri Kelas Xi Permen 22 1
Persamaan Trigonometri Berbentuk A Cos X B Sin X C
Contoh Soal Trigonometri Kelas Xi Ahmadthohir1089
Rumus Persamaan Trigonometri Dan Contoh Soal Belajar
Rumus Trigonometri Sudut Rangkap
Matematika Kelas 10 Persamaan Trigonometri Sederhana
Contoh Soal Mid Semester 1 Kelas 11 Matematika Peminatan Trigonometri Rumus Tan
Bank Soal Dan Pembahasan Matematika Dasar Limit Fungsi
Contoh Soal Dan Pembahasan Persamaan Trigonometri Marthamatika
Kumpulan Soal Dan Pembahasan Identitas Trigonometri
Lanjutan Contoh Soal Trigonometri Peminatan Ipa Kelas Xi
Gak Perlu Rumus Mudahnya Persamaan Trigonometri Dengan Logika Matematika Peminatan Kelas Xi
Trigonometri Kelas Xi Ipa Semester Ppt Download
Pdf 100 Soal Matematika Sma Kelas X Semester 2 Ria N
Trigonometri 1 Kehidupan Sehari Hari Panjang Kapal
Pelajaran Soal Rumus Trigonometri Sudut Rangkap Wardaya
Menyelesaikan Persamaan Trigonometri Tanpa Rumus M4th Lab
Bentuk Persamaan Trigonometri Dan Cara Menyelesaikannya
Lanjutan Contoh Soal Trigonometri Peminatan Ipa Kelas Xi
Menghitung Tinggi Pohon Menggunakan Rumus Identitas Trigonometri
Contoh Soal Trigonometri Sudut Ganda Dan Pembahasannya
Ppt Matematika Sma Kelas Xi Ipa Trigonometri Semester
Rangkuman Contoh Soal Pembahasan Trigonometri
Materi Lengkap Trigonometri Dengan Fungsi Rumus Dan
Kumpulan Soal Pembuktian Identitas Trigonometri
Bentuk Persamaan Trigonometri Dan Cara Menyelesaikannya
Rumus Persamaan Trigonometri Dan Contoh Soal Belajar
Soal Pas Ganjil Matematika Sma Tahun 2018 2019 Dumatika Id
Soal Soal Trigonometri Matematika Sma Kelas Xi
Soal Dan Pembahasan Persamaan Trigonometri Mathcyber1997
Contoh Soal Trigonometri Jumlah Selisih Dua Sudut Sains Seru
Rumus Trigonometri Invers Beserta Contoh Soal Dan Jawaban
Contoh Soal Trigonometri Peminatan Ipa Kelas Xi K13 Revisi
Tidak ada komentar:
Posting Komentar