Soal dan pembahasan olimpiade matematika tentang aljabar berikut ini adalah kisi kisi soal pretest ppg 2018 yang merupakan kumpulan file dari berbagi sumber kisi kisippg tentang soal dan pembahasan olimpiade matematika tentang aljabar yang bisa bapakibu gunakan dan diunduh secara gratis dengan menekan tombol download. Share on facebook tweet on twitter plus on google.
Materi Olimpiade Matematika Sma Sman 1 Batujajar
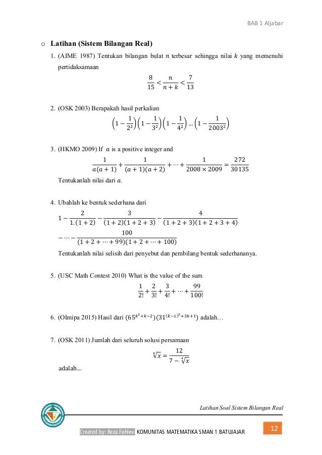
Materi soal soal olimpiade matematika sma biasanya bersumber pada buku buku pelajaran buku buku penunjang dan bahan lain yang relevan.
Contoh soal olimpiade matematika sma tentang aljabar. Soal revisi sd smp sma. Guru sd smp sma contoh soal olimpiade matematika smp aljabar. Soal dan pembahasan operasi hitung bentuk aljabar matematika smp kelas 8 pembaca yang budiman jika anda merasa bahwa artikel di agus blog ini bermanfaat silakan berbagi di media sosial lewat tombol share di bawah ini.
Untuk bidang matematika tingkat smp materi yang biasanya diujikan meliputi teori bilangan number teory aljabar algebra geometri geometry dan kombinatorik. Contoh soal operasi hitung bentuk aljabar matematika smp 1 hollla sobat idschool pada halaman ini idschool akan mengupas tentang contoh soal operasi hitung bentuk aljabar. Contoh soal olimpiade matematika sma tingkat provinsi dan pembahasannya bisa dijadikan sebagai bahan latihan untuk menghadapi olimpiade matematika tahun 2018 ini.
Adapun soal olimpiade ini dilengkapi dengan pembahasan dan solusi. Seperti kisi kisi yang telah dikeluarkan bsnp operasi hitung bentuk aljabar akan kembali muncul di ujian nasional tahun 2019. Pada artikel kali ini kita hanya membahas tentang soal.
Contoh file soal uts lengkap kelas 1 6 sdmi semua mata pelajaran 20162017 berikut ini adalah kumpulan dari berbagi sumber tentang contoh soal olimpiade matematika smp aljabar yang bisa gunakan untuk bank soaldownloadsd dan diunduh secara gratis dengan menekan tombol download biru dibawah ini. Soal dan pembahasan olimpiade matematika tingkat sma 1. Video ini membahas mengenai soal dan pembahasan dari soal aljabar pada olimpiade matematika tingkat sma.
Pembahasan soal olimpiade tentang aljabar osn adalah olimpiade sains nasional. Penekanan soal osn matematika sma adalah pada aspek penalaran pemecahan. Karena jumlah angka pertama dan angka terakhirnya adalah 10 maka pasangan angka pertama dan angka terakhir yang mungkin adalah 19 28 37 46 dan 55 untuk 19 a.
Sebagai bahan persiapan menyongsong event olimpiade sains nasional khususnya mapel matematika jenjang sma berikut ini akan saya bagikan materi yang diujikan di dalam osn matematika sma. Untuk dapat menyelesaikan soal ini siswa perlu memahami mengenai sifat selisih dua kuadrat. Dimana dalam pelaksanaannya mencakup beberapa mata pelajaran yaitu matematika ipa terpadu ips.
Bank soal olimpiade matematika sma mmxviii xpdf soal pembahasan olimpiade matematika sma mmxviii xpdf gunakan latihan soal olimpiade diatas sebagai bahan belajar persiapan menghadapi kompetisi seperti osp osn atau imo untuk tingkat sekolah menengah atas. Carilah semua bilangan bulat positif yang kurang dari 1000 sedemikian hingga jumlah digit pertama dan digit terakhirnya 10 jawab.
Materi Olimpiade Matematika Sma Sman 1 Batujajar
Bank Soal Aljabar Persiapan Olimpiade Matematika Soalujian Net
Materi Olimpiade Matematika Sma Sman 1 Batujajar
Olimpiade Matematika Sma Part 2 K Satria Matematika
Materi Olimpiade Matematika Sma Sman 1 Batujajar
Silabus Osn Sma 2019 Matematika Fisika Icho Ibo It
Contoh Soal Olimpiade Matematika Perpangkatan Sma Dumatika Id
Contoh Soal Olimpiade Matematika Perpangkatan Sma Portal
Latihan Soal Ulangan Aljabar Kelas 7 Made Nuryadi
Pembahasan Olimpiade Matematika Sma Aljabar
Materi Olimpiade Matematika Sma Sman 1 Batujajar
Soal Dan Pembahasan Olimpiade Matematika Sma Aljabar No 01
Contoh Soal Olimpiade Matematika Smama Aime Omits Dll
Kumpulan Soal Olimpiade Matematika Smp Soalujian Net
Mana Yang Lebih Susah Soal Sbmptn Atau Soal Olimpiade Quora
Materi Osn Matematika Sma Matematrick
Latihan Aljabar Olimpiade Matematika Soal 1
Buku Siap Osn Matematika Smp 2015
Bahan Persiapan Menghadapi Osn Matematika Sma Tingkat
Pdf Pembahasan Contoh Soal Olimpiade Matematika Sd Ahmad
Pdf Soal Dan Pembahasan Osn Matematika Smp Tingkat Provinsi
Bank Soal Olimpiade Matematika Smp Persiapan Winter Camp 2017
Soal Olimpiade Matematika Pasiad Tar S Mathematic
Contoh Soal Aljabar Sma Mode Pemasaran
Bank Soal Aljabar Persiapan Olimpiade Matematika Soalujian Net
Kumpulan Modul Dan Soal Latihan Olimpiade Sd Osn Sekolah
Doc Soal Dan Pembahasan Olimpiade Matematika Tingkat Sma
Bank Soal Olimpiade Matematika Sma Tipe 1 2 3 4 Lengkap
Buku Siap Osn Matematika Smp 2015
Pembinaan Olimpiade Matematika Sma Di Provinsi Babel
Soal Dan Pembahasan Latihan Olimpiade Nasional Smp 1 10
Kisi Kisi Soal Olimpiade Matematika 17 Olimpiade
Diujikan Dalam Osn Tingkat Smp Adalah Materi Matematika Sma
Contoh Soal Aljabar Kelas 7 Ruang Belajar Siswa Kelas 6
Soal Olimpiade Sma Xvii Semifinal 15 Oktober 2000
Bank Soal Olimpiade Matematika Sma Spring Camp Persiapan
Contoh Soal Matematika Lengkap Sd Smp Sma Sbmptn Dan
Materi Olimpiade Matematika Sma Geometri Modul Olimpiade
Contoh Cara Pemfaktoran Aljabar Persamaan Kuadrat Rumus Abc
Top Master Olimpiade Matematika Sd Nasional Internasional
Contoh Soal Aljabar Dan Penyelesaiannya Nurlaela Eka Cahyati
Soal Dan Pembahasan Latihan Olimpiade Nasional Smp 1 10
Contoh Soal Olimpiade Matematika Smp Mata Pelajaran
Pembahasan Soal Olimpiade Matematika Sma Fungsi 1
Panduan Osn Matematika Sma Ma Kumpulan Soal Olimpiade
Buku Siap Osn Matematika Smp 2015
Pdf Olimpiade Matematika Sma Oleh Ahmad Thohir
Bank Soal Olimpiade Matematika Smp Winter Camp Persiapan
3 Operasi Hitung Bentuk Aljabar Pdf
Top Master Olimpiade Matematika Smp Nasional Dan
Bahan Persiapan Menghadapi Osn Matematika Sma Tingkat
Soal Olimpiade Matematika Sma Ma Rumit Tapi Simpel
Soal Dan Pembahasan Olimpiade Sains Nasional Bidang
Materi Olimpiade Matematika Sma Geometri Modul Olimpiade
Soal Dan Pembahasan On Mipa Pt Matematika Bidang Aljabar
Buku Osn Olimpiade Matematika Ipa Ips Smp Mts Tim Prof Yohanes Surya Ph D
Soal Dan Pembahasan Latihan Olimpiade Nasional Smp 1 10
Kumpulan Soal On Mipa Pt Bidang Matematika Tahun 2006 2017
Silabus Osn Sma 2019 Matematika Fisika Icho Ibo It
Soal Dan Pembahasan Osn Matematika Sma Tingkat Kabupaten Bag 1
Soal Pembahasan Osk Osp Osn Matematika Sma 2018 Lengkap
Aljabar Latihan Olimpiade Matematika
Buku Osn Olimpiade Matematika Ipa Ips Smp Mts Tim Prof Yohanes Surya Ph D
Soal Olimpiade Matematika Smp Dan Pembahasannya Doc Mayeri
Download Pembahasan Olimpiade Matematika Sma Osk Tahun
3 Operasi Hitung Bentuk Aljabar Pdf
Rangkuman Materi Matematika Sma Lengkap Dan Contoh Soal
Search Results Soal Istiyanto Com
Matematika Sma Pelatihan Osn Com
Panduan Belajar Soal Hots Matematika Zenius Blog
Cara Asyik Belajar Matematika August 2016
Contoh Cara Pemfaktoran Aljabar Persamaan Kuadrat Rumus Abc
Soal Aljabar Olimpiade Sma Kadek Adi Wibawa
Soal Olimpiade Matematika Smp Mts Warta Madrasah
Materi Contoh Soal Dan Pembahasan Olimpiade
Hand Out Pembinaan Olimpiade Matematika Sma
Soal Dan Pembahasan Olimpiade Matematika Smp Aljabar No 01
Rangkuman Contoh Soal Pembahasan Limit
Contoh Soal Bilangan Berpangkat Bulat Positif Negatif Dan
Soal Dan Pembahasan Pra Osk Matematika Smp 2019 Soal Surya
Soal Olimpiade Matematika Sd Pemuladan Pembahasannya Docx
Jual Buku Olimpiade Sains Smp Dan Mts 24 Jilid Ipa Mtk Ips Kab Purbalingga Radja Buku Osn Tokopedia
Jual Rahasia Juara Olimpiade Matematika Sma Abdul Aziz Di Lapak Buku Beta Bukubeta
Soal Olimpiade Osn Matematika Sd Mi Dan Pembahasannya
Pembahasan Osk Matematika Sma Tahun 2019 Kemampuan Dasar
Kisi Kisi Resmi Osn Matematika Sma 2020 Gu Buk
Aljabar Instagram Posts Gramha Net
Pdf Modul Pembinaan Olimpiade Guru Mgmp Matematika Smp
Jual Buku Olimpiade Sains Matematika Smp Mts Prof Yohanes Surya 8 Buku Kab Purbalingga Radja Buku Osn Tokopedia
Diujikan Dalam Osn Tingkat Smp Adalah Materi Matematika Sma
Solusi Soal Geometri Osn Matematika Sma 2014 Tuturwidodo Com
Panduan Belajar Soal Hots Matematika Zenius Blog
Pt Kandel Olimpiade Matematika Kimia Biologi Sma Ma Gasing By Tim Prof Yohanes Surya Ph D Buku Edukasi
Kumpulan Soal Olimpiade Matematika
Kumpulan Soal Jawab Olimpiade Matematika


Tidak ada komentar:
Posting Komentar