Kamis, 22 Oktober 2020

Contoh Soal (F O G)(X)

Contoh Soal (F O G)(X). Contoh soal limit fungsi aljabar dan pembahasan. Contohnya jika fungsi f(x) dan g(x), maka (f o g) (x) dibaca fungsi f bundaran g yang dikerjakan dengan cara memasukkan fungsi g ke dalam fungsi f.

Fungsi Komposisi Dan Fungsi Invers
Fungsi Komposisi Dan Fungsi Invers from imgv2-1-f.scribdassets.com
Komposisi fungsi (g o f)(x) adalah. Rangkuman materi disertai contoh soal fungsi dan komposisi dan jawaban dengan pembahasan lengkapnya. By adriana dwi ismita 1.

Contoh soal lain tentang fungsi komposisi.

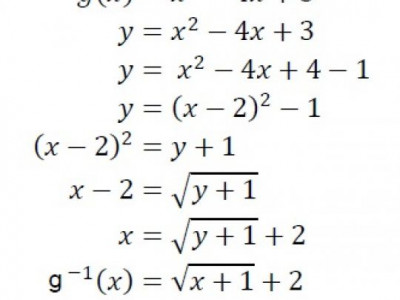
Jika nilai ( f o g )( x ) = 101, maka nilai x yang memenuhi adalah … a. Contoh soal dari fungsi invers. R r ditentukan oleh g(x) = x2 3x + 1 dan f: Makalah materi contoh soal fungsi invers diterangkan mulai dari pengertian, jenis, fungsi, struktur, unsur, tujuan, ciri, kaidah, konsep, dan contoh lengkapnya.

Tidak ada komentar:

Posting Komentar

Iklan Atas Artikel

Iklan Tengah Artikel 1

Iklan Tengah Artikel 2

Iklan Bawah Artikel